++ 50 ++ log(1 x) expansion 908536-Taylor expansion formula log(1+x)
The calculator can also make logarithmic expansions of formula of the form ln ( a b) by giving the results in exact form thus to expand ln ( x 3), enter expand_log ( ln ( x 3)) , after calculation, the result is returned The calculator makes it possible to obtain the logarithmic expansionIn this video, we will learn the Expansion of logarithmic function log(x1) based on Maclaurin Series ExpansionA Maclaurin series is a Taylor series expansio AboutPressCopyrightContact2421 · Series Expansion A series expansion is a representation of a particular function as a sum of powers in one of its variables, or by a sum of powers of another (usually elementary) function Here are series expansions (some Maclaurin, some Laurent, and some Puiseux) for a number of common functions Uznanski, Dan "Series Expansion"
Series Expansion Of Exponential And Logarithmic Functions
Taylor expansion formula log(1+x)
Taylor expansion formula log(1+x)-In the denominator for each term in the infinite sum · RE ln(1x), Taylor Es ist bei solchen Aufgaben generell unzulässig anzunehmen, man habe ein Orakel (Taschenrechner), das einem den Reihenwert, hier den numerischen Wert von ln(3/2), liefert Die Fehlerabschätzung muss direkt aus der Reihe erfolgen und sie ist dann auch zuverlässig in dem geforderten Sinne, dass für alle n >= dem berechneten Wert die


Expand 1 Dim Vector By Using Taylor Series Of Log 1 E X In Python Stack Overflow
The above expansion holds because the derivative of e x with respect to x is also e x, and e 0 equals 1 This leaves the terms ( x − 0) n in the numerator and n !Maclaurin Series of ln (1x) In this tutorial we shall derive the series expansion of the trigonometric function ln(1 x) by using Maclaurin's series expansion function Consider the function of the form f(x) = ln(1 x) Using x = 0, the given equation function becomes f(0) = ln(1 0) = ln1 = 0 Now taking the derivatives of the given( x − a )^ 2 If you want to know about Taylor Series click here Taylor series Wikipedia 231K views
To do the expansion, I'll be using the log rules, and I'll be taking care not to try to do anything "in my head" or too much all at once The first thing I see, inside the log, is that I've got one complicated expression that's divided by another complicated expression To start my expansion, then, I'll split the division inside the log into subtraction of logs outside Affiliate Inside eachX 2R cosx = 1 x2 2!Expand log (1 e^x) in ascending powers of x up to the term containing x^4 ← Prev Question Next Question → 0 votes 101k views asked May 7, 19 in Mathematics by AmreshRoy (695k points) Expand log (1 e x) in ascending powers of x up to the term containing x 4 differential calculus;
Higher Order Derivatives ;Approximation von ln(x) durch Taylorpolynome der Grade 1, 2, 3 bzw 10 um die Entwicklungsstelle 1 Die Polynome konvergieren nur im Intervall (0, 2 Der Konvergenzradius ist also 1 Animation zur Approximation ln(1x) an der Stelle x=0 Die Taylorreihe wird in der Analysis verwendet, um eine glatte Funktion in der Umgebung einer Stelle durch eine Potenzreihe darzustellen, welche der= X1 n=0 17n n n!


Find The 6 The Term In The Expansion Of 1 X 8 3 X 2 Log X 8 Please Show All The Steps To Get The Full Solution Mathematics Topperlearning Com 8mc9ug00


Expand 1 Dim Vector By Using Taylor Series Of Log 1 E X In Python Stack Overflow
Hi!Learn to find the series expansion of log(1x) and log(1x) here About Press Copyright Contact us Creators Advertise Developers Terms Privacy Policy & Safety How YouTube works Test newMaclaurin Series of Sqrt (1x) In this tutorial we shall derive the series expansion of √1 x by using Maclaurin's series expansion function Consider the function of the form f(x) = √1 x Using x = 0, the given equation function becomes f(0) = √1 0 = √1 = 1 Now taking the derivatives of the given function and using x = 0, weDerivative at a point;


Is Log N 8 N Log N Stack Overflow


Expansion Of Log 1 Sinx Youtube
1 1 x = 1 x x2 x3 x4 note this is the geometric series just think of x as r = X1 n=0 xn x 2( 1;1) ex = 1 x x2 2!The logarithmic series (Expansion of log(1x)) $$\;log(1x)\;=x\frac{x^2}{2}\frac{x^3}{3}{x^4}{4}\;\;\;\;\;\;\;$$ This series has been found to be valid for x=1, but not for x=1thus, $$log_e(1x)\;=\;x\;\;\frac{x^2}{2}\;\;\frac{x^3}{3}\;\;\frac{x^4}{4}\;\;\;\;\;\;\;\;\;$$ Which is a logarithmic series and is valid for 13!x3 ( − 3!) 4!


Taylor Series Wikipedia Republished Wiki 2


Chapter Vi
On the lefthand side ln (1 x) is ln (1 0) which is ln (1) which equals 0 Thus, C = 0 Our result so far Note the Σ in the second line This is summation notation meaning we substitute nClick here👆to get an answer to your question ️ If the fourth term in the expansion of ( √(x^ (1/log x 1 )) x^1/12 )^6 is equal to 0 and x > 1, then x is equal toLn(1x) = x (x^2)/2 (x^3)/3 = Sigma(n=1 to inf){(x^n)/n} and the series converges for (1)


Problems 1 2 1 By Starting With Euler S Formula At Course Hero


Expand Log 1 X 2 Is Ascending Prower Of X Concil Nunto Fourth Power Of X
Taylorpolynom ln (1x) hey ihr lieben ich hab da mal ne wichtige frage ich kann folgende aufgabe nicht wirklich umsetzen ich soll das nte taylorpolynom der funktion für 1In mathematics, the logarithm is the inverse function to exponentiation That means the logarithm of a given number x is the exponent to which another fixed number, the base b, must be raised, to produce that number xSpecify Method (new) Chain Rule;


Taylor Expansion Of Log X Page 1 Line 17qq Com


Prove Sum Limits N Le K 2 Frac 1 N Log K For Polya S Inequality Mathematics Stack Exchange
· Taylor expansion of f(x)= log (x1) at x=0, can be worked out as follows Answer link Related questionsCompute answers using Wolfram's breakthrough technology & knowledgebase, relied on by millions of students & professionals For math, science, nutrition, history, geography, engineering, mathematics, linguistics, sports, finance, music WolframAlpha brings expertlevel knowledge and= X1 n=0 xn n!


Taylor Series Expansion Of Natural Log Function Youtube


Some Wolfram Alpha Features I Can T Achieve In Mathematica Mathematica Stack Exchange
Share It On Facebook Twitter Email 1 Answer 0 votes answered May 7, 19 byTaylor 1/(1x), 0 Derivatives First Derivative;He started with his equation ln (1 x³) C1 = C2 x³ ½x⁶ ⅓x⁹ ¼x¹² He simplified it by subtracting C1 from both sides to get C3 or you can just call it C because you no longer have to differentiate between multiple unknown constants ln (1 x³) = C x³ ½x⁶ ⅓x⁹ ¼x¹² So, when x


Natural Logarithm Series


1 Expand F X Y Xº Y About The Point 0 0 Using Taylor S Series Formula2 Find The Maximum And Brainly In
· The easiest way to see it is by using an integral representation log (1x) = ∫dx/ (1x) Since 1/ (1x) = 1 x x 2 x 3 , integrating term by term gives the series for log (1x), where the integration limits are 0,xThere is no expansion around x = 1 because the log is highly singular at 1Taylor series expansions of logarithmic functions and the combinations of logarithmic functions and trigonometric, inverse trigonometric, hyperbolic, and inverse hyperbolic functions


Taylor S Maclaurin S Series Simple


Write Down The Taylor Series Expansion Of The Function Log X About X 1 Upto Three Non Zero Terms For X 0 Sarthaks Econnect Largest Online Education Community
1 Answer1 The program might be trying to calculate the natural logarithm, but it has lots of problems Corrections below keeping the OP style ln (x) = (x1)/x (1/2) ( (x1)/x)^2 (1/3) ( (x1)/x)^3 "Taylor Series Centered at 1" in the below link appears wrong as I suspect its terms should have alternating signsI need to nonlinearly expand on each pixel value from 1 dim pixel vector with taylor series expansion of specific nonlinear function (e^x or log(x) or log(1e^x)), but my current implementation is not right to me at least based on taylor series conceptsThe basic intuition behind is taking pixel array as input neurons for a CNN model where each pixel should be nonlinearly · ln(1x) = sum_(n=0)^oo (1)^n x^(n1)/(n1) with radius of convergence R=1 Start from ln(1x) = int_0^x (dt)/(1t) Now the integrand function is the sum of a geometric series of ratio t 1/(1t) = sum_(n=0)^oo (1)^nt^n so ln(1x) = int_0^x sum_(n=0)^oo (1)^nt^n This series has radius of convergence R=1, so in the interval x in (1,1) we can integrate term by term ln(1x


Taylor Series For Log X Physics Forums


Expand Log 1 Mn By Maclaurin S Theorem Brainly In
So e = 1 1 1 2!Free math lessons and math homework help from basic math to algebra, geometry and beyond Students, teachers, parents, and everyone can find solutions to their math problems instantlyEnjoy the videos and music you love, upload original content, and share it all with friends, family, and the world on YouTube


Logarithms Logs Log Ln Lg


Logarithms Logs Log Ln Lg
Updated 1 year ago Expension of log (1x) is x (x^2)/2 (x^3)/3 ( x^4)/4 (Alternate signs) This proof can be generated by Taylor Series, f ( x ) = f ( a ) f ′ ( a ) ( x − a ) f ′ ′ ( a ) 2 !Deriving the Maclaurin expansion series for ln(1x) is very easy, as you just need to find the derivatives and plug them into the general formula As you can see ln1 = 0 Once you differentiate, you end up with a simple reciprocal Differentiating it again simply increases the power as you can see In the numerator, you have a factorial sequence occurring, which is great Once you have a · これらをマクローリン展開の公式に代入すると、 log(1 x) = 0 1 ⋅ x ( − 1) 2!


Expand E X Log 1 Y By Maclaurin S Theorem Up To The Third Degree Term Sarthaks Econnect Largest Online Education Community


1 Log 2x 1 Log 3x 1 Log 43 X 1 Log 43 X
Maclaurin Expansion log (1e^x) Watch later Share Copy link Info Shopping Tap to unmute If playback doesn't begin shortly, try restarting your device Up NextThe natural logarithm of a number is its logarithm to the base of the mathematical constant e, where e is an irrational and transcendental number approximately equal to 2718 281 8 459The natural logarithm of x is generally written as ln x, log e x, or sometimes, if the base e is implicit, simply log x Parentheses are sometimes added for clarity, giving ln(x), log e (x), or log(x)X4 ⋯ = x − 1 2x2 1 3x3 − 1 4x4 ⋯ = ∞ ∑ n = 1( − 1)n 1 n xn になります。 これで log(1 x) のマクローリン展開を導出することができました。


Write The Maclaurin Series Expansion Of The Following Functions I E X Ii Sin X Iii Cos X Iv Log 1 X 1 X 1 Sarthaks Econnect Largest Online Education Community


Log 1 E X Maclaurin Series
Log Expansions = (x1) (1/2) (x1) 2 (1/3) (x1) 3 (1/4) (x1) 4 = (x1)/x (1/2) ( (x1) / x) 2 (1/3) ( (x1) / x) 3 (1/4) ( (x1) / x) 4 = ln (a) (xa) / a (xa) 2 / 2a 2 (xa) 3 / 3a 3 (xX f 2(0) 2! · To find a Maclaurin series for ln( 1 x 1 −x) from scratch, we first need to take note of expressing a function as an infinite sum centered at x = 0 In order to do this, we write f (x) = f (0) f 1(0) 1!


Expand Logex In Power Of X And Hence Evaluate Loge 1 1 Correct To Four Decimal Places Answer Mathematics 1 Question Answer Collection


The Coefficient Of X 6 In The Expansion Of Br Log 1 X 1
X2 f 3(0) 3!Let f (x, y) = e x log (1 y) The function and it's partial derivatives evaluated at (0, 0) is as follows Substituting all the values in the expansion of f (x, y), we getThis infinite sum suggests that we'd have to calculate some derivatives


Exponential And Logarithmic Function And Series Expansion Of E X A X And Log 1 X Notes Videos Qa And Tests Grade 12 Mathematics Binomial Theorem Kullabs


Expansion Of Log 1 X Maclaurin Series Youtube
Taylor series of log(x) with a = 1 Follow 54 views (last 30 days) Show older comments Ibrahima Diallo on 3 Sep 19 Vote 0 ⋮ Vote 0 Answered Kritika Bansal on 13 Sep 19 How to Write a Matlab function that sums up a specified number of terms from the Taylor series of log(x) with a = 1 %I need my own sript %I tried this function s = etaylor_log(x, n) syms x s = taylor(log(xExpansion of Log (1sinx) YouTube Plate Dispenser apwwyottcomGet the free "Log(1x) Taylor Series" widget for your website, blog, Wordpress, Blogger, or iGoogle Find more Mathematics widgets in WolframAlpha


If The Third Term In The Binomial Expansion Of Left 1 X Log 2 X Right 5 Equals 2560 Then A Possible Value Of X Is Options 4 Sqrt 3


7 8 Transcendency
E(17x) = P 1 n=0 (17 x)n! · Given a positive number x, the task is to find the natural log (ln) and log to the base 10 (log 10) of this number with the help of expansion Example Input x = 5 Output ln 5000 = 1609 log10 5000 = 0699 Input x = 10 Output ln = 2303 log10 = 1000Now collecting coefficients of x, x2, x3, x4, x5, x6, x7, Expansion is then, log(1 tanx) = x − 1 2x2 2 3x3 − 7 12x4 2 3x5 − 47 90x6 199 315x7 − calculus taylorexpansion solutionverification Share edited Mar 27 ' at 1918


Expansion Of Function Around Point Using Log X 1 X X 2 2 Mathematics Stack Exchange


Series Expansions Of Exponential And Logarithmic Functions
Note y = cosx is an even function (ie, cos( x) = cos( )) and the taylor seris of y = cosx hasX3 = ∞ ∑ n=0f n(0) xn n!24 Expand lo g (1 x) in ascending powers of x up to the term containing x 4 25 Obtain the Maclaurin's expansion of lo g (1 tan x) up to the term containing x 4 2 6 Obtain the Maclaurin's expansion of lo g (1 cos x) up to the term containing x 4


Magnitudes Of The Terms Plotted On A Log 10 Scale In The Modi Ed Download Scientific Diagram


Maclaurin Series Log 1 Cosx Youtube
· Note that d dx (ln(1 − x)) = −1 1 − x, x < 1 You can express −1 1 − x as a power series using binomial expansion (for x in the neighborhood of zero) = − (1 x x2 x3 ) To get the Maclaurin Series of ln(1 − x), integrate the above "polynomial" You will get ln(1 − x) = − x


How Are Logs Calculated Quora


Solved 3 Series Expansion Natural Log X Valid X 0 1 X 5 X Log X 2 Write Python Program Evaluate S Q


What Is The Taylor Series Expansion Of Sin X Quora


Expanding Logarithms Chilimath


Expansion Of Functions Expansion Of Functions The Calculus Primer


Which Is Dfrac1xdfrac12 Dfrac See How To Solve It At Qanda


Evaluate The Limits Using The Expansion Formula Of Functions Lim


Solved 2 60 Points The Truncated Taylor Series Expansio Chegg Com


Write The Maclaurin Series Ex See How To Solve It At Qanda


Taylor Series Expansions Of Logarimathic Functions


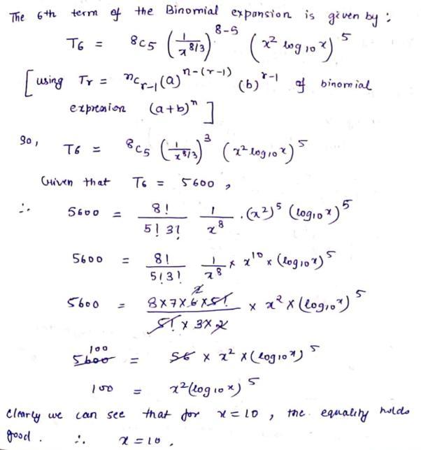
If The 6 Th Term In The Expansion Of Left Frac 1 X Frac 8 3 X 2 Log 10 X Right 8 Is 5600 Then X Equals A 1 B Log E 10 C 10 D X Does Not Exist Snapsolve


Series Expansion Of Exponential And Logarithmic Functions


Expansion Of Logd Page 3 Line 17qq Com


Mo9glac9eegtzm


Help With Arithmetic On Basic Taylor Series Expansion Mathematics Stack Exchange


Samacheer Kalvi 12th Maths Guide Chapter 7 Applications Of Differential Calculus Ex 7 4 Samacheer Kalvi


Doubt From Log Expansion Maths Doubts Goiit Com


Solved Matlab Problem A Taylor Series Expansion About 0 Chegg Com


Answered X X3 Log 1 X X 2 3 4 For 1 Bartleby


Expansion Of Log X 1 Maclaurin Series Youtube


Expand Log X In Powers Of X 1 By Taylor S Series Sarthaks Econnect Largest Online Education Community


Expanding Logarithms Chilimath


Natural Logarithm Wikipedia


Solved 1 Use A Taylor Series To Get The Limit 7 4 X2 Chegg Com


What Is The Expansion Of Ln 1 X Quora


What Is Logarithmic Series Expansion A Plus Topper


Series Expansion Of Exponential And Logarithmic Functions


Solved Using The Power Series Expansion Course Hero


F A X 4 Expand The Following Functions In A Maclaurin Series 2 1 X B 1 Homeworklib


Taylor And Maclaurin Series


Power Series Taylor S And Maclaurin S Series


Taylor Series Wikipedia


Solved An Helpful Info Power Series Expansion For Logari Chegg Com


Taylor Series Wikipedia


How To Expand Log 1 Log 1 X In Powers Of X As Far As X 4 Quora


Appendix C Expansions Differentiation Integrals And Mathematical Relations Engineering360


Taylor Series Wikipedia


Ppt Example Obtain The Maclaurin S Expansion For Powerpoint Presentation Id


What Is The Expansion Of Log 1 X Quora


Solved The Maclaurin Series Expansion For The Natural Log Chegg Com


Natural Logarithm Wikipedia


Logerthemic Series Complex Analysis Numbers


Example Obtain The Maclaurin S Expansion For Ppt Video Online Download


C Is Method Example Log 1 X Expansion Series Log 1 X Expansion Part 23 Youtube


Example 10 Find Term Independent Of X In 3 2 X 2 1 3x 6


Expansion Of Log 1 X And Log 1 X Maclaurin Series 7 Youtube


2 Example 18 Find The Coefficient Of X9 In The Expansion Of Scholr


Find The Coefficient Of X N In The Expansion Of Log 1 X X 2 Maths Relations And Functions Meritnation Com


Dc Response Discrete Time Fourier Transform X N X Ejw Ppt Download


Find Expansion Of Log 1 Tanx By Doubtnut


How To Recognise Expansion Of Log 1 X Log 1 X Maths Meritnation Com


Natural Log Expansion Page 1 Line 17qq Com


Graphs Of Taylor Polynomials Wolfram Demonstrations Project


Taylor Series Wikipedia


1 Write The Maclaurin Series Expansion Of The Following Functions N Begin Array L L Text I E X Text Ii


Evaluating Limits A Plus Topper Limits Calculus Studying Math Math Formulas


1 Prove That Log 1 R Geometric Series 1 1 For 1 The Simplest Way To Do This Homeworklib


What Is Logarithmic Series Expansion A Plus Topper


Solved Recall That The Taylor Expansion Of Log 1 X Is Lo Chegg Com


Log X Expansion Page 1 Line 17qq Com


How Do You Do The Taylor Expansion For F X Log X 1 At X 0 Socratic

コメント
コメントを投稿